Two alien spaceships approach each other, each moving with the same speed as measured by a stationary observer on the Earth. Their relative speed, as measured by the aliens, is 0.8c. Determine the speed of the spaceships as measured by a stationary observer on Earth.
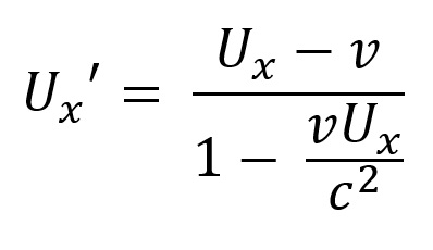
The equation for relativistic addition of velocities is:

Here Ux‘ is the speed of the projectile as measured by the moving observer (i.e. the speed of the spaceship B as observed from the the spaceship A). It says in the question that this is equal to 0.8c.
Ux is the speed of the projectile (spaceship B) as measured by a stationary observer (i.e. observer on Earth).
v is the speed of the moving observe (spaceship A) as observed by a stationary observer (from Earth).
c is the speed of light as normal.
The question says the spaceships are “each moving with the same speed as measured by a stationary observer on the Earth“. So in this case the magnitudes of Ux and v are equal but they are travelling in opposite directions towards each other so v = -Ux.

Now we just solve for Ux.

A velocity of 2c is unphysical because it’s greater than the speed of light so the spaceships are travelling at half the speed of light.
