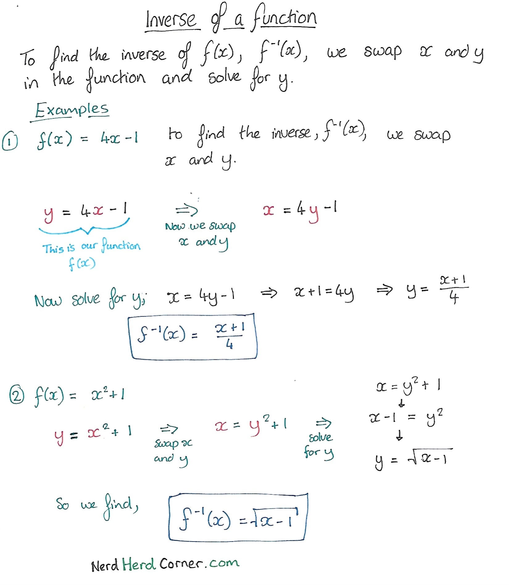
Inverse of a Function Mixed function questions and worked solution and the bottom of the page. Download this revision sheet Mixed Function Questions Mixed Function Answers Share this: Share on X (Opens in new window) X Share on Facebook (Opens in new window) Facebook Like Loading...