There isn’t very much theory behind simultaneous equations so some detailed example questions are below. You can find these questions on separate question and answer sheets at the bottom of the page if you want to try these questions by yourself instead.
Question 1

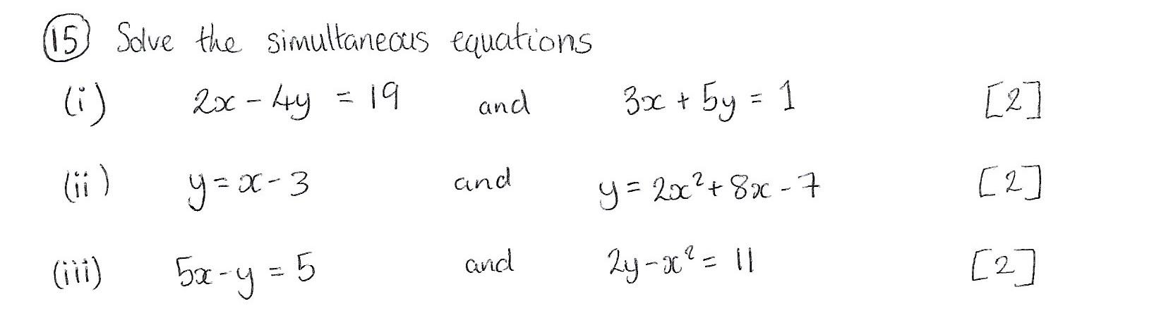
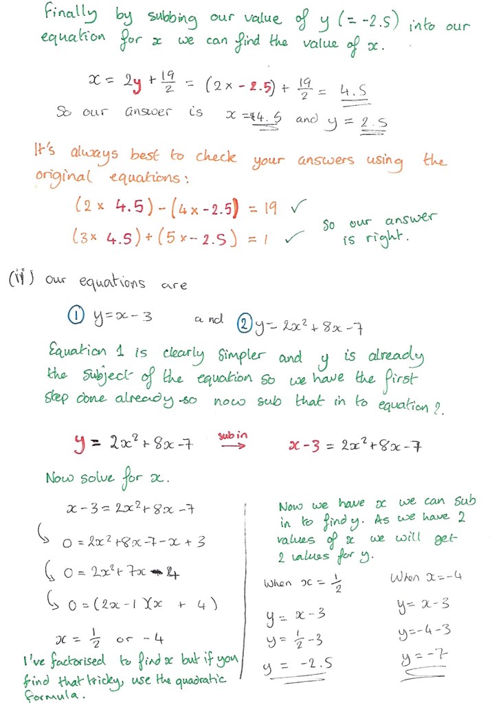
Answer 1





Question 2

Answer 2


