A muon has a lifetime of 2×106s in its rest frame. It is created in the upper atmosphere and moves towards Earth at a speed of 0.99c. From the point of view of an observer on Earth, how far does the muon travel before it decays?
The equation for relativistic time dilation is,
t = γτ
where t is the dilated time seen by the observer, τ is the proper time observed by the object and γ is the Lorentz factor which quantifies the dilation caused by an objects speed and is defined as;

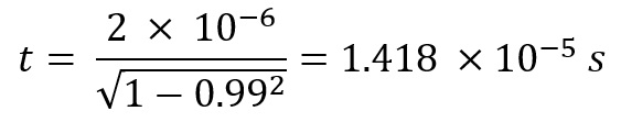
So we find that the lifetime of the muon as observed on Earth is

Finally we know distance = speed × time and so we find that the muon travels;
Distance travelled = 0.99 × 3 × 108 × 1.418 × 10-5 = 4.21 km

Leave a comment